Atomic Structure & Valency
Cheatsheet Content
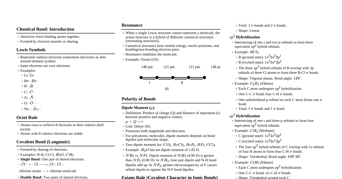
### Atomic Structure - **Atoms:** Fundamental building blocks of matter. - **Sub-atomic particles:** - **Electrons (e⁻):** Negatively charged, negligible mass. - **Protons (p⁺):** Positively charged, mass ~1 unit. Found in the nucleus. - **Neutrons (n⁰):** No charge, mass ~1 unit. Found in the nucleus (except hydrogen). - **Nucleus:** Dense central part of an atom containing protons and neutrons. - **Atomic Number (Z):** Number of protons in an atom. Defines the element. - **Mass Number (A):** Total number of protons and neutrons in an atom ($A = p^+ + n^0$). ### Atomic Models #### Thomson's Model (Plum Pudding Model) - Atom is a sphere of positive charge with electrons embedded in it. - Explained electrical neutrality but failed to explain experimental results. #### Rutherford's Model (Nuclear Model) - Based on alpha-particle scattering experiment. - **Observations:** - Most alpha particles passed straight through (atom is mostly empty space). - Few deflected at small angles (positive charge occupies very little space). - Very few deflected at 180° (positive charge and mass concentrated in a tiny nucleus). - **Features:** - Positively charged nucleus at the center. - Electrons revolve around the nucleus in circular paths. - Nucleus is very small compared to the atom. - **Drawbacks:** Could not explain the stability of the atom (revolving electrons would lose energy and fall into the nucleus). #### Bohr's Model - **Postulates:** - Electrons revolve in discrete orbits (energy shells) without radiating energy. - Only certain orbits are allowed. - **Energy Levels/Shells:** Designated as K, L, M, N... or n=1, 2, 3, 4... ### Electron Distribution (Bohr-Bury Rules) - **Maximum electrons in a shell:** $2n^2$, where 'n' is the orbit number. - K-shell (n=1): $2(1)^2 = 2$ electrons - L-shell (n=2): $2(2)^2 = 8$ electrons - M-shell (n=3): $2(3)^2 = 18$ electrons - N-shell (n=4): $2(4)^2 = 32$ electrons - **Outermost shell:** Can hold a maximum of 8 electrons. - **Shell filling:** Inner shells must be filled before outer shells. ### Valency - **Definition:** The combining capacity of an element. - **Valence Electrons:** Electrons in the outermost shell. - Atoms react to achieve a stable outermost shell (usually 8 electrons, called an octet, or 2 for the first shell). This is achieved by gaining, losing, or sharing electrons. - **Calculating Valency:** - If valence electrons (VE) ≤ 4, Valency = VE - If valence electrons (VE) > 4, Valency = 8 - VE #### Common Valencies (First 20 Elements & Compounds) | Element/Compound | Symbol/Formula | Atomic Number (Z) | Electron Configuration | Valence Electrons | Valency | |------------------|----------------|-------------------|------------------------|-------------------|---------| | Hydrogen | H | 1 | 1 | 1 | 1 | | Helium | He | 2 | 2 | 2 | 0 (stable) | | Lithium | Li | 3 | 2, 1 | 1 | 1 | | Beryllium | Be | 4 | 2, 2 | 2 | 2 | | Boron | B | 5 | 2, 3 | 3 | 3 | | Carbon | C | 6 | 2, 4 | 4 | 4 | | Nitrogen | N | 7 | 2, 5 | 5 | 3 | | Oxygen | O | 8 | 2, 6 | 6 | 2 | | Fluorine | F | 9 | 2, 7 | 7 | 1 | | Neon | Ne | 10 | 2, 8 | 8 | 0 (stable) | | Sodium | Na | 11 | 2, 8, 1 | 1 | 1 | | Magnesium | Mg | 12 | 2, 8, 2 | 2 | 2 | | Aluminium | Al | 13 | 2, 8, 3 | 3 | 3 | | Silicon | Si | 14 | 2, 8, 4 | 4 | 4 | | Phosphorus | P | 15 | 2, 8, 5 | 5 | 3, 5* | | Sulfur | S | 16 | 2, 8, 6 | 6 | 2, 4, 6* | | Chlorine | Cl | 17 | 2, 8, 7 | 7 | 1, 3, 5, 7* | | Argon | Ar | 18 | 2, 8, 8 | 8 | 0 (stable) | | Potassium | K | 19 | 2, 8, 8, 1 | 1 | 1 | | Calcium | Ca | 20 | 2, 8, 8, 2 | 2 | 2 | | Water | H₂O | - | - | - | H:1, O:2 | | Carbon Dioxide | CO₂ | - | - | - | C:4, O:2 | | Methane | CH₄ | - | - | - | C:4, H:1 | | Ammonia | NH₃ | - | - | - | N:3, H:1 | | Sodium Chloride | NaCl | - | - | - | Na:1, Cl:1 | | Magnesium Oxide | MgO | - | - | - | Mg:2, O:2 | | Aluminium Oxide | Al₂O₃ | - | - | - | Al:3, O:2 | | Calcium Carbonate| CaCO₃ | - | - | - | Ca:2, CO₃:2 | | Sulfuric Acid | H₂SO₄ | - | - | - | H:1, SO₄:2 | | Nitric Acid | HNO₃ | - | - | - | H:1, NO₃:1 | *Note: Some elements like Phosphorus, Sulfur, and Chlorine can exhibit variable valencies due to the availability of d-orbitals for bonding in higher energy states, which is typically covered in more advanced chemistry. For basic understanding, their primary valencies are often 3, 2, and 1 respectively.* ### Isotopes & Isobars - **Isotopes:** Atoms of the same element with the same atomic number (Z) but different mass numbers (A) due to different numbers of neutrons. - **Example:** Hydrogen has three isotopes: Protium ($^1_1H$), Deuterium ($^2_1H$), Tritium ($^3_1H$). - **Properties:** Same chemical properties, different physical properties. - **Applications:** Uranium (nuclear fuel), Cobalt (cancer treatment), Iodine (goitre treatment). - **Isobars:** Atoms of different elements with different atomic numbers (Z) but the same mass number (A). - **Example:** Calcium ($^{40}_{20}Ca$) and Argon ($^{40}_{18}Ar$).