Multiple Integrals Cheatsheet
Cheatsheet Content
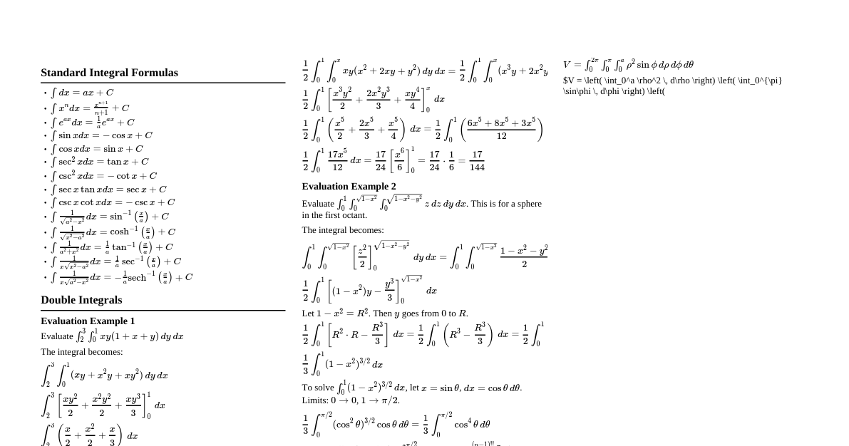
Multiple Integrals: Introduction Multiple integrals are used in science and engineering to solve problems involving area, volume, mass, and center of mass. They extend the concept of a single integral to functions of multiple variables. Double Integrals in Cartesian Coordinates A double integral is defined as the limit of a sum. For a continuous function $f(x,y)$ over a simple closed region $R$, it is denoted by $\iint_R f(x,y) \,dxdy$. To evaluate, subdivide region $R$ into elementary areas $\Delta A_i$ and sum $f(x_i, y_i) \Delta A_i$. Evaluation Order If $R$ is defined by $a \le x \le b$ and $g_1(x) \le y \le g_2(x)$: $$\iint_R f(x,y) \,dydx = \int_a^b \left( \int_{g_1(x)}^{g_2(x)} f(x,y) \,dy \right) \,dx$$ If $R$ is defined by $c \le y \le d$ and $h_1(y) \le x \le h_2(y)$: $$\iint_R f(x,y) \,dxdy = \int_c^d \left( \int_{h_1(y)}^{h_2(y)} f(x,y) \,dx \right) \,dy$$ Practice Problems: Evaluate $\int_0^2 \int_0^1 (x+y) \,dydx$. Evaluate $\int_0^1 \int_0^{\sqrt{1-y^2}} \frac{1}{\sqrt{1-x^2-y^2}} \,dxdy$. Evaluate $\int_0^a \int_0^{\sqrt{a^2-x^2}} x^2y \,dydx$. Evaluate $\iint_R xy \,dxdy$ over the positive quadrant of the circle $x^2+y^2=a^2$. Evaluate $\int_1^2 \int_1^3 \frac{1}{xy} \,dydx$. Evaluate $\int_0^5 \int_0^{x^2} (x^2+y^2) \,dydx$. Evaluate $\int_0^1 \int_0^{\sqrt{1+x^2}} \frac{1}{1+x^2+y^2} \,dydx$. Evaluate $\int_0^4 \int_0^{y/x} e^{y/x} \,dydx$. Evaluate $\int_0^a \int_0^{\sqrt{a^2-x^2}} \sqrt{a^2-x^2-y^2} \,dydx$. Change of Order of Integration Sometimes, evaluating a double integral is easier by changing the order of integration. This involves redefining the region of integration $R$ with respect to the other variable. Steps: Sketch the region of integration. Describe the region with the new order of integration. Set up the new integral with the changed limits. Practice Problems: Evaluate $\int_0^{4a} \int_{x^2/4a}^{2\sqrt{ax}} \,dydx$ by changing the order of integration. Change the order of integration and evaluate $\int_0^1 \int_{x^2}^{2-x} xy \,dydx$. Change the order of integration and evaluate $\int_0^a \int_x^a (x^2+y^2) \,dydx$. Evaluate $\int_0^3 \int_x^{\sqrt{4-y}} (x+y) \,dydx$ by changing the order of integration. Change the order of integration and evaluate $\int_0^1 \int_y^{2-y} xy \,dxdy$. Double Integrals in Polar Coordinates For regions with circular symmetry, polar coordinates $(r, \theta)$ simplify integration. Transformation rules: $x = r \cos \theta$ $y = r \sin \theta$ $dxdy = r \,drd\theta$ A function $f(x,y)$ becomes $f(r \cos \theta, r \sin \theta)$. Practice Problems: Evaluate $\int_0^{\pi/2} \int_0^\infty \frac{r}{(r^2+a^2)^2} \,drd\theta$. Evaluate $\int_0^{\pi/2} \int_0^{\sin\theta} r \,drd\theta$. Evaluate $\int_0^{\pi} \int_0^{a\cos\theta} r \sin\theta \,drd\theta$. Evaluate $\int_{-\pi/2}^{\pi/2} \int_0^{2\cos\theta} r^3 \,drd\theta$. Evaluate $\int_0^\infty \int_0^\infty e^{-(x^2+y^2)} \,dxdy$ by changing to polar coordinates. Evaluate $\int_0^2 \int_0^{\sqrt{2x-x^2}} \frac{x}{x^2+y^2} \,dydx$ by changing to polar coordinates. Evaluate $\int_0^a \int_0^{\sqrt{a^2-x^2}} \frac{x}{\sqrt{x^2+y^2}} \,dydx$ by changing to polar coordinates. Area Enclosed by Plane Curves The area $A$ of a region $R$ in the $xy$-plane can be found using a double integral: $$A = \iint_R \,dxdy$$ This is useful for areas bounded by complex curves where direct integration might be difficult. Practice Problems: Find the area enclosed by the curves $y=2x^2$ and $y^2=4x$. Find the area bounded by $y=x$ and $y=x^2$. Find the smaller area bounded by $y=2-x$ and $x^2+y^2=4$. Find the area bounded by the parabolas $y^2=4x$ and $x^2=4y$. Find the area of the ellipse $\frac{x^2}{a^2}+\frac{y^2}{b^2}=1$. Find the area of the region inside the circle $r=2a\cos\theta$ and outside the cardioid $r=a(1+\cos\theta)$. Find the area of the cardioid $r=a(1+\cos\theta)$. Triple Integrals Triple integrals are used to calculate volumes, mass, and other quantities in three dimensions. For a function $f(x,y,z)$ over a region $V$ in space, it is denoted by $\iiint_V f(x,y,z) \,dxdydz$. Evaluation Order: The order of integration depends on the definition of the region $V$. For example: $$\iiint_V f(x,y,z) \,dzdydx = \int_{x_1}^{x_2} \int_{y_1(x)}^{y_2(x)} \int_{z_1(x,y)}^{z_2(x,y)} f(x,y,z) \,dzdydx$$ Practice Problems: Evaluate $\int_0^x \int_0^{\sqrt{x+y}} \int_0^z z \,dzdydx$. Evaluate $\int_0^{\log 2} \int_0^x \int_0^{x+y} e^{x+y+z} \,dzdydx$. Evaluate $\int_1^3 \int_{1/x}^1 \int_0^{\sqrt{xy}} xy \,dzdydx$. Evaluate $\int_0^{\log a} \int_0^x \int_0^{x+y} e^{x+y+z} \,dzdydx$. Volume of Solids The volume $V$ of a solid region $V$ can be found using a triple integral: $$V = \iiint_V \,dxdydz$$ Practice Problems: Find the volume of the sphere $x^2+y^2+z^2=a^2$. Find the volume of that portion of the ellipsoid $\frac{x^2}{a^2}+\frac{y^2}{b^2}+\frac{z^2}{c^2}=1$ which lies in the first octant. Evaluate $\iiint_V \,dxdydz$ where $V$ is the volume of the tetrahedron whose vertices are $(0,0,0)$, $(1,0,0)$, $(0,1,0)$, and $(0,0,1)$. Find the volume of the tetrahedron bounded by the coordinate planes and $\frac{x}{a}+\frac{y}{b}+\frac{z}{c}=1$. Find the volume of the ellipsoid $\frac{x^2}{a^2}+\frac{y^2}{b^2}+\frac{z^2}{c^2}=1$ by using triple integration. Evaluate $\int_0^1 \int_0^{\sqrt{1-x^2}} \int_0^{\sqrt{1-x^2-y^2}} \frac{1}{\sqrt{1-x^2-y^2-z^2}} \,dzdydx$. Numerical Integration Numerical integration methods approximate the value of definite integrals when analytical solutions are difficult or impossible to find. Trapezoidal Rule Approximates the area under a curve by dividing it into trapezoids. Formula: $\int_a^b f(x) \,dx \approx \frac{h}{2} [f(x_0) + 2f(x_1) + 2f(x_2) + \dots + 2f(x_{n-1}) + f(x_n)]$ Where $h = \frac{b-a}{n}$ and $x_i = a + ih$. Error: $E_T \le \frac{(b-a)h^2}{12} M$, where $M$ is the maximum of $|f''(x)|$. Simpson's 1/3 Rule Approximates the area by fitting parabolas to segments of the curve. Requires an even number of subintervals ($n$ must be even). Formula: $\int_a^b f(x) \,dx \approx \frac{h}{3} [f(x_0) + 4f(x_1) + 2f(x_2) + 4f(x_3) + \dots + 2f(x_{n-2}) + 4f(x_{n-1}) + f(x_n)]$ Error: $E_S \le \frac{(b-a)h^4}{180} M$, where $M$ is the maximum of $|f^{(4)}(x)|$. Simpson's 3/8 Rule Approximates the area by fitting cubic polynomials. Requires the number of subintervals ($n$) to be a multiple of 3. Formula: $\int_a^b f(x) \,dx \approx \frac{3h}{8} [f(x_0) + 3f(x_1) + 3f(x_2) + 2f(x_3) + 3f(x_4) + 3f(x_5) + 2f(x_6) + \dots + f(x_n)]$ Error: $E_S \le \frac{(b-a)h^4}{80} M$, where $M$ is the maximum of $|f^{(4)}(x)|$. Practice Problems: Given the integral $I = \int_0^6 \frac{1}{1+x^2} \,dx$. Evaluate using direct integration. Evaluate using the Trapezoidal rule with $n=6$. Evaluate using Simpson's 1/3 rule with $n=6$. Evaluate using Simpson's 3/8 rule with $n=6$. Given the integral $I = \int_0^\pi \sin x \,dx$. Evaluate using direct integration. Divide the range into 10 equal parts and evaluate using the Trapezoidal rule. Divide the range into 10 equal parts and evaluate using Simpson's 1/3 rule. The velocity $v$ of a particle at a distance $s$ from a point on its path is given by the table below: $s$ (meters) 0 10 20 30 40 50 60 $v$ (m/sec) 47 58 64 65 61 52 38 Estimate the time taken to travel 60 meters using Simpson's 1/3 rule. The table below gives the velocity $v$ of a moving particle at time $t$ seconds. Find the distance covered by the particle in 12 seconds and also the acceleration at $t=2$ seconds using Simpson's rule: $t$ (seconds) 0 2 4 6 8 10 12 $v$ (m/sec) 4 6 16 34 60 94 136 Find the distance covered using Simpson's 1/3 rule. Find the acceleration at $t=2$ seconds. <svg width="100" height="100"> <circle cx="50" cy="50" r="40" stroke="black" stroke-width="2" fill="none" /> <line x1="10" y1="50" x2="90" y2="50" stroke="black" stroke-width="1" /> <line x1="50" y1="10" x2="50" y2="90" stroke="black" stroke-width="1" /> <text x="95" y="55" font-family="serif" font-size="12">x</text> <text x="45" y="15" font-family="serif" font-size="12">y</text> </svg>