EESD – UCHUT347 Module 4 Cheat Sheet
Cheatsheet Content
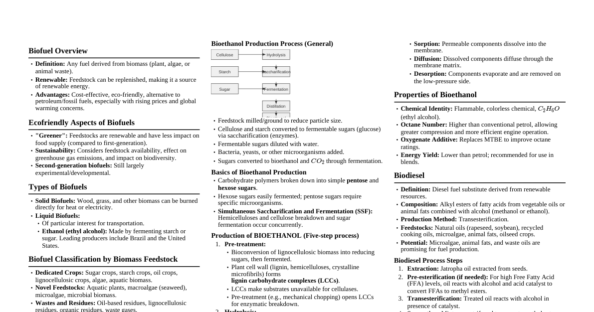
Overview of Renewable Energy Sources Solar Energy Source: Sun's radiation, converting light into usable energy. Technology: Photovoltaic (PV) cells directly convert sunlight into electricity; Solar thermal systems use sunlight to heat water or air for residential or industrial use, or to generate electricity in concentrated solar power (CSP) plants. Advantages: Clean (no emissions during operation), abundant (sunlight is everywhere), low operating cost once installed, contributes to energy independence. Challenges: Intermittent (only available when the sun shines), requires large land areas for utility-scale deployment, high initial capital costs, efficiency can be affected by weather conditions. Wind Energy Source: Kinetic energy of moving air, driven by solar heating of the Earth's surface. Technology: Wind turbines (onshore or offshore) capture wind's kinetic energy with blades, converting it into mechanical power that drives a generator to produce electricity. Advantages: Renewable, low operating costs, no greenhouse gas emissions during operation, scalable from small individual turbines to large wind farms. Challenges: Intermittent (wind speed varies), noise and visual impact concerns, site-specific requirements for consistent strong winds, potential impact on wildlife (e.g., birds and bats). Hydropower (Hydroelectric Energy) Source: Flowing or falling water, utilizing the Earth's water cycle. Technology: Dams create reservoirs to control water flow, or run-of-river plants use natural river flow. Water is channeled through turbines, which spin generators to produce electricity. Advantages: Reliable (can provide base-load and peak power), long lifespan of facilities, no direct greenhouse gas emissions, provides flood control and water supply benefits. Challenges: High environmental and social impacts (e.g., habitat destruction, displacement of communities, altered river ecosystems), high upfront construction costs, dependent on consistent rainfall and suitable geography. Biomass Energy Source: Organic materials from living or recently living organisms (e.g., agricultural residues, forestry waste, dedicated energy crops, animal manure, municipal solid waste). Technology: Direct combustion for heat and electricity; Anaerobic digestion produces biogas (methane); Biorefineries convert biomass into liquid biofuels (ethanol, biodiesel) or other bioproducts. Advantages: Utilizes waste products, considered carbon-neutral if sustainably managed (carbon released equals carbon absorbed by plants), versatile for various energy forms. Challenges: Can compete with food production for land, potential for air pollution if not managed well, requires continuous supply of feedstock, sustainability depends on sourcing practices. Sustainable Energy Technologies Definition: Technologies that generate and use energy efficiently, are renewable, and have minimal negative impact on the environment, society, and economy. They aim for long-term viability. Aims: To reduce greenhouse gas emissions, conserve natural resources, improve energy efficiency, and ensure a long-term supply of clean energy for current and future generations. In Energy Production: Solar: Advanced PV panels, concentrated solar power (CSP), solar water heaters, building-integrated photovoltaics. Wind: Larger, more efficient turbines, offshore wind farms, vertical-axis wind turbines, hybrid systems combining wind with solar or storage. Hydropower: Large-scale dams for significant power generation, micro/small hydro for localized needs, pumped-hydro storage for grid balancing. Biomass/Bioenergy: Biogas plants from organic waste, advanced biofuels from non-food crops, waste-to-energy facilities. Geothermal: Harnessing Earth's internal heat for direct heating, cooling, or electricity generation in power plants. Hydrogen: Focus on green hydrogen produced via electrolysis using renewable electricity, for fuel cells or industrial processes. In Energy Consumption: Energy Efficiency in Buildings: Designing green buildings with passive solar heating/cooling, high-performance insulation, smart meters for energy monitoring, and efficient HVAC systems. Sustainable Transportation: Electric Vehicles (EVs), development of robust E-mobility infrastructure (charging stations), and innovations in public transport (electric buses, high-speed rail). Smart Grids & Energy Storage: Advanced electricity grids that intelligently manage supply and demand, integrate diverse renewable sources, and utilize battery storage, flywheel storage, or thermal storage solutions. Industrial Efficiency: Implementing waste heat recovery systems, using energy-efficient motors and processes, and optimizing industrial operations to reduce energy consumption. Consumer-Level: Promoting the use of energy-efficient appliances, adopting IoT-enabled devices for smart home energy management, and encouraging behavioral changes. Challenges in Renewable Energy Adoption Intermittency & Reliability: Solar and wind power generation are inherently variable and dependent on weather conditions (sunlight, wind speed). This intermittency poses challenges for grid stability and reliable power supply without adequate storage or backup. High Initial Costs: While operating costs are low, the upfront capital expenditure for installing renewable energy infrastructure (e.g., solar farms, wind turbines, hydropower dams) can be substantial, creating financial barriers for investment. Energy Storage Limitations: The development of large-scale, cost-effective, and efficient energy storage solutions (like batteries) is crucial to overcome intermittency, but current technologies still face limitations in capacity, duration, and cost. Land Use & Environmental Concerns: Large-scale renewable projects can require significant land areas, leading to potential conflicts over land use, habitat destruction, biodiversity impacts, and concerns about visual pollution. Biomass also raises concerns about competition with food crops. Resource & Location Dependency: The viability of certain renewable sources is geographically specific. Geothermal energy requires particular geological conditions, while consistent wind and ample sunlight are needed for wind and solar projects, limiting universal deployment. Opportunities in Renewable Energy Adoption Abundant & Clean Energy: Renewables offer an inexhaustible supply of energy that, unlike fossil fuels, does not produce greenhouse gas emissions during operation, directly combating climate change and air pollution. Energy Security: By diversifying energy sources and reducing reliance on imported fossil fuels, renewable energy enhances national energy independence and security, making countries less vulnerable to global price fluctuations and supply disruptions. Decentralized Energy Access: Technologies like off-grid solar and micro-hydro systems can provide electricity to remote and rural areas not connected to central grids, fostering economic development and contributing to Sustainable Development Goal 7 (Affordable and Clean Energy). Technological Innovation: Continuous advancements in renewable energy technologies, smart grids, AI, IoT, energy storage, and hydrogen production are driving down costs and increasing efficiency, creating new industries and job opportunities. Environmental & Social Benefits: Beyond climate change mitigation, renewables improve local air quality, reduce public health issues associated with fossil fuel combustion, and can lead to cleaner, more sustainable living conditions for communities. Climate Change and Engineering Solutions Climate Change: Refers to long-term shifts in temperatures and weather patterns, primarily caused by human activities, especially the burning of fossil fuels, which releases heat-trapping greenhouse gases into the atmosphere. Impacts: Manifests as rising global temperatures, melting glaciers and ice caps leading to sea level rise, increased frequency and intensity of extreme weather events (heatwaves, droughts, floods, storms), and significant threats to biodiversity. Impacts on Natural Systems: Ecosystems/Biodiversity: Habitat loss and fragmentation, altered migration patterns, increased extinction rates, coral bleaching due to ocean warming and acidification, and greater susceptibility to fires and pest outbreaks. Water Systems: Erratic rainfall patterns leading to more frequent and severe floods and droughts, reduction in freshwater availability, and saltwater intrusion into coastal aquifers due to rising sea levels. Cryosphere: Rapid melting of glaciers, ice sheets, and permafrost, contributing to sea-level rise and reducing Earth's albedo (reflectivity), further accelerating warming. Oceans: Warming seas affect marine life and ecosystems (e.g., fisheries), ocean acidification (due to increased CO2 absorption) harms shellfish and coral, and contributes to more intense tropical cyclones. Impacts on Human Systems: Agriculture/Food Security: Heat stress and changed rainfall patterns reduce crop yields, droughts impact livestock and livelihoods, leading to food shortages and increased prices. Human Health: Increased incidence of heatwaves leading to mortality, expansion of vector-borne diseases (e.g., malaria, dengue) into new regions, and negative impacts on mental health due to climate anxiety and displacement. Settlements/Infrastructure: Rising sea levels threaten coastal cities and infrastructure (roads, bridges, power grids) with inundation and storm surges, while extreme weather events cause widespread damage and displacement, potentially creating climate refugees. Energy Systems: Reduced hydropower generation in drought-affected areas, shortages of cooling water for thermal power plants, and increased demand for air conditioning leading to higher energy consumption. Climate Crisis in Kerala & India: India is highly vulnerable to climate change due to its large population, long coastline, agriculture-dependent economy, and diverse geographical features. Kerala, with its unique geography (Western Ghats, backwaters, Arabian Sea coastline), faces particular risks from extreme rainfall events, landslides, and sea-level rise. Key Climate Change Trends in India: Rising Temperatures: India's average temperature has risen by approximately $0.7^\circ C$ between 1901 and 2018, leading to more frequent and intense heatwaves. Rainfall & Flooding: Erratic and intensified monsoon patterns, exemplified by the devastating Kerala floods in 2018 and 2019, as well as increased flash floods and landslides, particularly in the Western Ghats region. Himalayan Glaciers: Significant retreat of Himalayan glaciers, threatening the long-term water security for major rivers and populations in North India. Agriculture/Food Security: Unpredictable rainfall and rising temperatures are reducing crop yields, impacting food security and the livelihoods of millions of farmers; Kerala's traditional crops are especially vulnerable. Kerala-Specific Climate Challenges: Floods & Landslides: The 2018 floods highlighted the vulnerability, with heavy rainfall exacerbated by environmental degradation (deforestation, quarrying) contributing to severe landslides. Coastal Erosion & Sea-Level Rise: Increased tidal flooding (e.g., in Chellanam), leading to loss of land, displacement of communities, and severe impacts on the livelihoods of fishing communities. Heat & Changing Rainfall: An increase in the number of hot days, a decline in traditional rainfall patterns leading to summer water scarcity, and shifts in the timing and intensity of monsoon rains. Engineering Solutions to Climate Change Mitigation (Reducing GHG emissions): Engineers play a critical role in designing and implementing systems that reduce greenhouse gas emissions and facilitate the transition to a low-carbon energy economy. Energy Systems: Developing and deploying renewable energy technologies (solar, wind, hydro, biomass, geothermal), enhancing energy storage solutions (batteries, pumped hydro, hydrogen), and improving grid efficiency. Transportation: Designing Electric Vehicles (EVs), developing robust charging infrastructure, and improving public transit systems through electrification and efficiency upgrades (e.g., metro systems, electric buses). Sustainable Fuels: Research and development of advanced biofuels, synthetic fuels, and hydrogen as clean energy carriers for various sectors. Buildings & Industry: Implementing green building standards (passive cooling, advanced insulation, efficient lighting), designing industrial processes with lower carbon footprints, and developing low-carbon materials (e.g., green cement, recycled steel). Adaptation (Coping with climate impacts): Engineers design infrastructure and systems to withstand and adjust to the unavoidable impacts of climate change, such as floods, heatwaves, droughts, and sea-level rise. Water Management: Designing flood control systems (dams, levees, improved drainage), implementing rainwater harvesting, developing desalination plants, optimizing smart irrigation systems, and restoring natural wetlands for water retention. Urban & Rural Planning: Developing climate-resilient housing and infrastructure, integrating green infrastructure (urban forests, permeable pavements, cool roofs) to mitigate urban heat island effects, and constructing coastal protection measures (sea walls, mangrove restoration). Agriculture: Engineering solutions for precision farming (using IoT, drones for optimal water/nutrient use), and developing drought-resistant or heat-tolerant crop varieties through biotechnology. Resilience Building (Recovering from climate shocks): Engineers contribute to building the capacity of communities and infrastructure to recover quickly and effectively from climate-related disasters. Disaster Risk Management: Developing early warning systems for floods, cyclones, and heatwaves; utilizing GIS and remote sensing for hazard mapping; and designing infrastructure that is robust and easily repairable after events. Decentralized Systems: Promoting microgrids for localized energy supply, distributed water systems, and modular infrastructure that can be quickly restored. Community-Centered Engineering: Engaging in participatory planning with local communities, developing affordable and appropriate technologies (e.g., flood-resistant shelters, solar lanterns for disaster relief), and building local capacity for maintenance and management. Summary: Mitigation focuses on reducing the causes of climate change (GHG emissions), Adaptation involves redesigning systems to survive the changes, and Resilience builds the capacity to recover from climate-related shocks. Overview of Key Environmental Policies Stockholm Conference (1972): The first major UN conference on international environmental issues, raising global awareness and leading to the creation of the United Nations Environment Programme (UNEP). Montreal Protocol (1987): A highly successful international treaty designed to protect the ozone layer by phasing out the production of numerous substances responsible for ozone depletion, such as chlorofluorocarbons (CFCs) and hydrochlorofluorocarbons (HCFCs). Rio Earth Summit (1992): Officially the UN Conference on Environment and Development (UNCED), it popularized the concept of sustainable development and produced key documents like Agenda 21 (a blueprint for sustainable development), the Convention on Biological Diversity (CBD), and the UN Framework Convention on Climate Change (UNFCCC). Kyoto Protocol (1997): The first legally binding international agreement under the UNFCCC, setting specific emission reduction targets for developed countries for a basket of greenhouse gases. Paris Agreement (2015): A landmark global agreement under the UNFCCC, aiming to limit global warming to well below $2^\circ C$ above pre-industrial levels, and pursuing efforts to limit it to $1.5^\circ C$. Countries submit Nationally Determined Contributions (NDCs) outlining their climate action plans. Sustainable Development Goals (SDGs) – 2015: A collection of 17 interlinked global goals designed to be a "blueprint to achieve a better and more sustainable future for all." Goals 13 (Climate Action), 14 (Life Below Water), and 15 (Life On Land) are directly focused on environmental protection. India's National Environmental Policies Environment (Protection) Act, 1986: Enacted in the aftermath of the Bhopal Gas Tragedy, this umbrella legislation grants the central government broad powers to take measures for protecting and improving the quality of the environment and preventing, controlling, and abating environmental pollution. National Forest Policy (1988, updated 2018): Aims to maintain environmental stability and restore ecological balance. It targets achieving 33% forest and tree cover across the country, focusing on conservation, afforestation, and meeting the needs of forest-dependent communities. Wildlife Protection Act, 1972: Provides for the protection of wild animals, birds, and plants, establishing national parks and wildlife sanctuaries, and regulating hunting and trade of protected species. It aims to ensure biodiversity conservation. Air (Prevention and Control of Pollution) Act, 1981: Designed to prevent, control, and abate air pollution in India. It empowers central and state pollution control boards to set air quality standards and regulate industrial and vehicular emissions. Water (Prevention and Control of Pollution) Act, 1974: The first major environmental law in India, aiming to prevent and control water pollution, maintain or restore the wholesomeness of water, and establish pollution control boards to monitor and enforce standards. National Action Plan on Climate Change (NAPCC), 2008: India's comprehensive strategy to address climate change. It outlines eight national missions focusing on key areas such as solar energy (National Solar Mission), sustainable habitats, enhanced energy efficiency, and water conservation. Role of Engineers in Policy Implementation and Compliance Vital Role: Engineers are crucial in translating environmental policies from legislative texts into practical, real-world solutions and ensuring their effective implementation and adherence. They act as the technical backbone for sustainability initiatives. Implementing Policies: They bridge the gap between policy frameworks and practical application. This involves designing and operating systems (e.g., waste treatment plants, renewable energy infrastructure, water conservation systems) that meet policy objectives and standards. Ensuring Legal/Regulatory Compliance: Engineers are responsible for ensuring that projects, processes, and products comply with environmental laws and regulations. This includes monitoring industrial emissions and effluents, managing hazardous waste, maintaining proper documentation, conducting environmental audits, and helping organizations obtain necessary environmental clearances and permits. Ethical Aspect of Compliance: Adhering to environmental regulations is not just a legal obligation but also a fundamental part of professional engineering ethics, ensuring that their work does not harm the environment or public health. Promoting Sustainable Design & Innovation: They integrate sustainability principles into design (e.g., eco-friendly materials, energy-efficient designs), conduct Life Cycle Assessments (LCA) to minimize environmental impact, develop low-carbon technologies, promote green manufacturing processes, and innovate in waste recycling and resource recovery. Acting as Ethical Decision-Makers: Engineers often face dilemmas where economic pressures conflict with environmental responsibility. They must prioritize public safety, welfare, and environmental protection, report violations, refuse to engage in unethical practices, and provide expert advice to organizations on sustainable alternatives. Monitoring, Evaluation, & Reporting: They develop and implement systems to monitor environmental performance, conduct regular sustainability and energy audits, assess environmental impacts, and prepare comprehensive reports to demonstrate compliance and identify areas for improvement. Ethical Considerations in Environmental Policy Making Definition: This involves the process of creating laws, guidelines, and strategies to protect the environment and promote sustainability, while carefully considering the moral implications and impacts on people, ecosystems, and future generations. Core Principle: It's about discerning and pursuing what is morally right for the planet and all its inhabitants, rather than being solely driven by economic convenience or short-term profit. Key Ethical Considerations: Intergenerational Equity: The principle that current generations have a moral obligation to manage natural resources and the environment in a way that does not compromise the ability of future generations to meet their own needs. Intragenerational Equity (Social Justice): Focuses on the fair distribution of environmental benefits (e.g., clean air, access to resources) and burdens (e.g., pollution, environmental hazards) among people living today, addressing disparities often faced by marginalized communities. Precautionary Principle: States that if there is a threat of serious or irreversible environmental damage, a lack of full scientific certainty should not be used as a reason for postponing cost-effective measures to prevent environmental degradation. Polluter Pays Principle: An environmental policy principle which states that those who produce pollution should bear the costs of managing it to prevent damage to human health or the environment. Sustainable Development: Defined as "development that meets the needs of the present without compromising the ability of future generations to meet their own needs." It seeks to balance economic growth, social equity, and environmental protection. Respect for All Forms of Life (Ecocentrism): An ethical stance that argues that ecological systems and all their constituent parts (including non-human life) have intrinsic value, not just instrumental value to humans, advocating for their protection for their own sake. Real-World Case Studies Bhopal Gas Tragedy (India, 1984): Event: A catastrophic industrial disaster where a highly toxic gas, methyl isocyanate (MIC), leaked from a Union Carbide India Limited (UCIL) pesticide plant in Bhopal, Madhya Pradesh. Impact: Led to over 3,000 immediate deaths and tens of thousands suffering from severe long-term health issues, making it one of the world's worst industrial disasters. Ethical Issues: Highlighted severe negligence in safety protocols, inadequate maintenance of equipment, insufficient disaster preparedness and emergency response, and a failure to adequately inform and protect the local community about the inherent dangers of the plant. Ethical Analysis: This case profoundly violated the duty of engineers and corporations to prioritize public welfare and safety. It demonstrated a disregard for the precautionary principle, a lack of transparency, and the devastating consequences of unethical engineering practices combined with poor regulatory compliance. Emerging Trends and Future Directions in Environmental Ethics and Sustainability Shift from Anthropocentric to Ecocentric Thinking: Earlier: Environmental policies largely focused on how nature serves human interests (anthropocentric view). Now: Growing recognition of the intrinsic value of all living beings and ecosystems, independent of their utility to humans. Future: Policies will increasingly emphasize protecting biodiversity for its inherent worth, fostering a deeper ethical respect for non-human life and ecological processes. Integration of Technology with Sustainability: Trend: Leveraging advanced technologies to address complex environmental challenges more effectively and efficiently. Examples: Artificial Intelligence (AI) and Internet of Things (IoT) for smart energy management and waste optimization, blockchain for transparent carbon accounting and supply chain traceability, and continuous innovation in renewable energy and green materials. Ethical Aspect: Ensuring that technological advancements are used responsibly to serve sustainability goals, considering potential ethical dilemmas related to data privacy, the environmental impact of e-waste, and equitable access to these technologies. Circular Economy and Zero Waste Movement: Concept: Moving away from the traditional linear "take-make-dispose" model towards a restorative and regenerative system where resources are kept in use for as long as possible, extracting maximum value from them, and then recovering and regenerating products and materials at the end of each service life. Trend: Redesigning products and production processes to minimize waste, maximize resource efficiency, and promote reuse, repair, and recycling. Future: Increased focus on product life-cycle accountability, adoption of green manufacturing practices, and development of eco-industrial parks where waste from one industry becomes a resource for another. Ethical Aspect: Promotes responsible consumption, intergenerational equity by preserving resources, and social justice by reducing the burden of waste on vulnerable communities. Sustainable Urban Development and Green Infrastructure: Trend: Cities are increasingly adopting holistic approaches to development that integrate environmental sustainability, social equity, and economic viability. This includes promoting green buildings, smart mobility solutions, and localized renewable energy grids. Future: Development of net-zero cities, extensive implementation of nature-based solutions like rain gardens, green roofs, and urban forests to manage stormwater, improve air quality, and mitigate urban heat islands. Ethical Aspect: Aims to create more livable, resilient, and inclusive urban environments, ensuring environmental justice for all residents and reducing the ecological footprint of urban areas. Discussion on the Role of Engineers in Promoting a Sustainable Future Introduction: Engineers, as designers and builders of the modern world, wield immense power and responsibility. Their work profoundly impacts the environment and society. Therefore, they must act as guardians of sustainability, designing solutions that meet present needs without compromising the ability of future generations to meet their own. Why Engineers Are Key: Engineers are uniquely positioned because they directly influence how resources are utilized, how energy is generated and consumed, how waste is managed, and how infrastructure is built. Their technical expertise is essential for developing and implementing efficient, safe, and environmentally friendly systems and technologies. Key Roles: Sustainable Design and Innovation: Designing products, processes, and systems that are energy-efficient, use sustainable materials, minimize waste, and have a low environmental footprint throughout their lifecycle. Promoting Renewable Energy Solutions: Developing, deploying, and integrating renewable energy technologies (solar, wind, hydro, geothermal) into national grids and decentralized systems, including advanced energy storage solutions. Waste Management and Pollution Control: Designing efficient waste treatment facilities, developing recycling and resource recovery systems, and engineering solutions to control air, water, and soil pollution. Green Infrastructure and Urban Planning: Contributing to the design of sustainable urban environments, including green buildings, smart transportation systems, resilient infrastructure, and nature-based solutions. Ethical Decision-Making and Professional Responsibility: Upholding professional ethics by prioritizing environmental protection and public welfare, conducting thorough risk assessments, and advocating for sustainable practices within their organizations and projects. Research and Innovation for Sustainability: Conducting R&D to develop breakthrough technologies for climate change mitigation, adaptation, and resource efficiency, such as carbon capture, advanced materials, and sustainable manufacturing. Educating and Influencing Society: Communicating the importance of sustainable practices to clients, policymakers, and the public, and advocating for policies that support environmental protection and resource conservation. Policy Support and Implementation: Providing technical expertise to inform environmental policy development and ensuring that policies are effectively implemented through robust engineering solutions and compliance mechanisms. Ethical Dimensions: The pursuit of sustainability is deeply intertwined with ethical considerations. Engineers must balance economic viability with planetary well-being, apply the precautionary principle in their designs, and ensure that technological advancements contribute to social equity and environmental justice. As often quoted, "Engineering without ethics can lead to progress without purpose."